Faculty Survey
| 1. Which Libraries Are Used? |
| Eighty-three percent of the faculty reported using one or more of Dartmouth's libraries. All of the Humanities faculty reported using Baker library and 71% use Sherman. Ninety-six percent of the faculty from DMS reported using Dana library and 84% use Matthews-Fuller. See Appendix for the percentage in each group who use each library and the overall use. |
|
Back to Table of Contents
| 2. Why Faculty Use the Library |
| The Humanities and Social Sciences faculty use the library principally to "find books." Faculty in the Sciences and DMS were most likely to use the library to "find journal articles." Humanities faculty were nearly twice as likely as the other three groups to "consult with library staff." Very low percentages use the library to "read newspapers" and "use computers for research and e-mail." |
|
Written Responses to "Other."
Read and work in a quiet place without interruption (10 entries)
Inter-library loan requests (10 entries)
Back to Table of Contents
| 3. Overall Satisfaction with Library Facilities, Staff, and Information Resources |
| Almost one-half of the faculty were very satisfied with the library "facilities." Nearly three-quarters of the faculty were very satisfied with "staff," while 50% were very satisfied with "information resources." |
|
Back to Table of Contents
| 4. Why Faculty Never or Rarely Visit the Library |
| Only 42 faculty rarely or never use the library. The principal reason cited was "[use of] electronic resources," but only 11 faculty marked this reason. |
Back to Table of Contents
| 5. How Faculty Learn About Dartmouth Libraries, Services, and Resources |
| These faculty reported three principal sources of information about libraries, services, and resources: "Conversations with library staff," "colleagues," and "e-mail from the library." DMS faculty are much less likely than the other groups to gain information from "conversations with library staff." |
|
Back to Table of Contents
| 6. What Services Do Faculty Use Frequently? |
| "Reference/research assistance" and "interlibrary loan/document delivery" are the services used by the largest percentages of these faculty. The graph below shows the services that were used by the majority. Distinctive usage patterns were as follows: Distinctively high usage rates - Humanities: "Use library computers for e-mail" (45% vs. ~ 15% in the other groups); Humanities faculty were also the heaviest users of library computers for library research. Sciences and DMS: "Photocopy" (~ 80% vs. ~ 65% in the other groups). Low usage rates - DMS: "Retrieve materials from storage" (76% did not use vs. use by 60% or more in the other groups), "course reserves" (70% did not use vs. use by 75% or more in the other groups), "place holds and recalls" (64% did not use vs. use by 65% or more in the other groups). |
|
Back to Table of Contents
| 7. Satisfaction with Library Services |
| Fifty percent or more of the faculty who used the services below were very satisfied with "check-out materials," "reference/research assistance," "interlibrary loan/document delivery," and "electronic forms for transactions." Over 80% of these faculty were at least satisfied with "[using] computers for library research" and with "[photocopying]." |
|
Note: Only services used by at least 20% of faculty are shown; satisfaction reported only for faculty who use each service
Back to Table of Contents
| 8. What Resources Do Faculty Use Frequently? |
| "Printed journals," the "online catalog," "printed books," and "electronic journals and indexes" are the resources used by the largest percentage of these faculty. The graph below shows the resources that were used by the majority. Distinctively high usage rates - Sciences: "Library Web pages" (88% vs. ~ 66% in the other groups). Social Sciences: "Electronic indexes" (93% vs. ~ 81% in the other groups). Humanities: Over 75% used the online catalog several times a week; maps, scores, videotapes (66% vs. ~ 25% in the other groups), "microforms" (70% vs. ~ 30% in the other groups). Distinctively low usage rates - Humanities: "Electronic journals" (39% did not use vs. use by 94% or more in the other groups). DMS: "Microforms" (90% did not use vs. ~ use by 50% or more in the other groups). |
|
Back to Table of Contents
| 9. Faculty Satisfaction with Library Resources |
| A majority of these faculty were at least satisfied with the resources below. The graph shows the highest level of satisfaction - very satisfied. The Humanities faculty were most distinctly satisfied with "printed books," the "online catalog," and "printed journals." Satisfaction with "electronic journals" was highest among Science faculty. |
|
| Note: Only resources used by at least 20% of faculty are shown; satisfaction reported only for faculty who use each resource. |
| A majority of these faculty used the resources below at least once a week. The graph shows the highest level of usage - several times a week. Seventy-nine percent of the faculty in the Humanities and 56% of the faculty in the Social Sciences used the "online catalog." The Sciences and DMS faculty used "electronic journals" more than any other resource. "Printed books" were the least used of the principal resources; they were most used by the Humanities faculty. |
 |
| |
Humanities |
Sciences |
Social Sciences |
DMS |
| Online catalog |
79% |
36% |
56% |
16% |
| Electronic journals |
7% |
48% |
22% |
42% |
| Electronic indexes |
28% |
39% |
49% |
34% |
| Printed journals |
22% |
39% |
15% |
19% |
| Printed books |
49% |
29% |
27% |
6% |
|
| "Printed journals," the "online catalog," "printed books," and "electronic journals and indexes" are the resources used by the largest percentage of these faculty. The graph below shows the resources that were used by the majority. Distinctively high usage rates - Humanities: "Online catalog" (79% vs. ~ 36% in the other groups), "printed books" (49% vs. ~ 21% in the other groups). Sciences: "Printed journals" (39% vs. ~ 19% in the other groups). Distinctively low usage rates - Humanities: "Electronic journals" (39% did not use vs. use by ~ 94% or more in the other groups). Sciences and DMS: "Maps, scores, videotapes" (~ 81% did not use vs. use by ~ 52% or more in the other groups). DMS: "Microforms" (90% did not use vs. use by ~ 50% or more in the other groups). |
Back to Table of Contents
10. Most Important Services and Resources for Research and/or Teaching |
| The services and resources below were rated important for teaching and research by at least 70% of the faculty. "Printed books" were more likely to be important in the Arts and Sciences than in the medical school. The Humanities faculty were least likely to cite "electronic journals." Social Sciences faculty were most likely to cite "electronic indexes" (see appendix for a full reporting of the importance of all services and resources listed in the question). |
|
Back to Table of Contents
11. Changes to Services and Resources That Would Make Research and/or Teaching More Effective |
| All groups reported that "more electronic materials" would make their research and teaching more effective. "Improvements to DCIS" were most desired by the Humanities and Social Sciences faculty. |
|
Back to Table of Contents
| 12. How Often Do Faculty Use the Library Web Site? |
| The Humanities faculty use the library Web site somewhat less than the other groups. The Sciences faculty were most likely to use the Web site several times a week. Both Sciences and DMS faculty were most likely to be at least occasional users. |
|
Back to Table of Contents
| 13. Why Faculty Infrequently or Never Use a Library Web Site |
| Twenty-one percent of these faculty (54 from 253) reported that they infrequently or never (a single option in the questionnaire) used the library Web site. Lack of knowledge about the library Web site was the reason cited most frequently for not using the Web site. |
 |
Back to Table of Contents
14. Interest in Instruction About Library Information Resources and Preferred Means of Instruction |
| Fifty-eight percent of these faculty were interested in receiving instruction about library information resources. Interest in instruction was highest in the Humanities group at 73%. Faculty in the Humanities preferred to receive instruction "at the reference desk when needed," followed by the "library Web site." Faculty in the Sciences and Social Sciences favored instruction through the "library Web site." DMS faculty showed no clear preference. |
Instruction for Faculty
|
| The "library Web site" was the preferred medium for instructing students about the library for all of the Arts and Sciences groups. Social Sciences faculty had a distinctive interest in instruction "within classes or labs," while DMS faculty preferred either the "library Web site" or "on-line tutorials." |
Instruction for Students
|
Back to Table of Contents
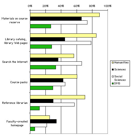
| 15. How Faculty Expect Students to Find Information |
| The principal sources through which faculty expect students to find information are listed below (sources cited by a majority of the faculty): Humanities: "Materials on course reserve" and "library catalog/Web pages." Sciences: "Materials on course reserve." Social Sciences: "Library catalog/Web pages," "materials on course reserve," "search the Internet," and "reference librarian." No source was mentioned by a majority of the DMS faculty. |
|
Desired Services and General Comments
Verbatim comments and responses to a question on desired services and a general comments section are in the appendix. These comments and responses are available in paper copy from the Reserve Desk in Baker.
Back to Table of Contents